سود مرکب و اهمیت آن در سرمایه گذاری بلند مدت

- فهرست محتوا
- در دنیای سرمایهگذاری، مفاهیم زیادی وجود دارد که دانستن آنها میتواند تفاوت بزرگی در رشد داراییهایتان ایجاد کند. یکی از مهمترین مفاهیم، سود مرکب است؛ عاملی که بسیاری از سرمایهگذاران موفق جهان، از جمله وارن بافت، آن را رمز اصلی ثروتمند شدن خود میدانند. اما سود مرکب چیست و چرا در سرمایهگذاری بلندمدت اهمیت دارد؟ در این مقاله بهطور کامل به این سوال مهم پاسخ میدهیم.
- سود مرکب چیست؟
- چرا سود مرکب در سرمایهگذاری اهمیت دارد؟
- نحوه بررسی و محاسبه سود مرکب
- نقش سرمایهگذاری بلندمدت در فعالسازی سود مرکب
- نحوه استفاده از سود مرکب در سرمایهگذاری
- نقش تورم بر سود مرکب
- نمونهای از اثر سود مرکب در عمل در سرمایه گذاری
- جمعبندی
در دنیای سرمایهگذاری، مفاهیم زیادی وجود دارد که دانستن آنها میتواند تفاوت بزرگی در رشد داراییهایتان ایجاد کند. یکی از مهمترین مفاهیم، سود مرکب است؛ عاملی که بسیاری از سرمایهگذاران موفق جهان، از جمله وارن بافت، آن را رمز اصلی ثروتمند شدن خود میدانند. اما سود مرکب چیست و چرا در سرمایهگذاری بلندمدت اهمیت دارد؟ در این مقاله بهطور کامل به این سوال مهم پاسخ میدهیم.
سود مرکب چیست؟
سود مرکب (Compound Interest) یعنی سودی که نهتنها به اصل سرمایه، بلکه به سودهای قبلی هم تعلق میگیرد. به بیان دیگر، وقتی سودی که از سرمایهگذاری به دست میآورید دوباره سرمایهگذاری شود، در دورههای بعدی خودش هم سود تولید میکند. همین موضوع باعث میشود با گذشت زمان، سرمایهتان با سرعت بیشتری رشد کند.
بهعنوان مثال، فرض کنید 10 میلیون تومان را با نرخ سود سالانه 20 درصد سرمایهگذاری کردهاید. در پایان سال اول، سرمایه شما به 12 میلیون تومان میرسد. اگر در سال دوم، سود 20 درصد بر پایه 12 میلیون تومان محاسبه شود، سرمایهتان به 14.4 میلیون تومان افزایش مییابد. این یعنی در سال دوم فقط از اصل سرمایه 10 میلیون تومانی سود نگرفتهاید، بلکه از سود سال قبل هم سود بهدست آوردهاید.
چرا سود مرکب در سرمایهگذاری اهمیت دارد؟
اهمیت سود مرکب در سرمایهگذاری از آنجاست که باعث میشود زمان، به نفع سرمایهگذار عمل کند. برخلاف سود ساده که فقط بر پایه اصل سرمایه محاسبه میشود، در سود مرکب هر دوره، سرمایهی بزرگتری در حال رشد است.
به همین دلیل، هرچه مدت سرمایهگذاری طولانیتر باشد، تأثیر سود مرکب بیشتر میشود. این اثر بهقدری قدرتمند است که حتی با مبالغ کوچک هم میتوان در بلندمدت به دارایی چشمگیری رسید. بهطور خلاصه، سه عامل در رشد سود مرکب نقش اصلی دارند:
- میزان نرخ سود
- مدت زمان سرمایهگذاری
- تناوب مرکب شدن (ماهانه، سالانه و...)
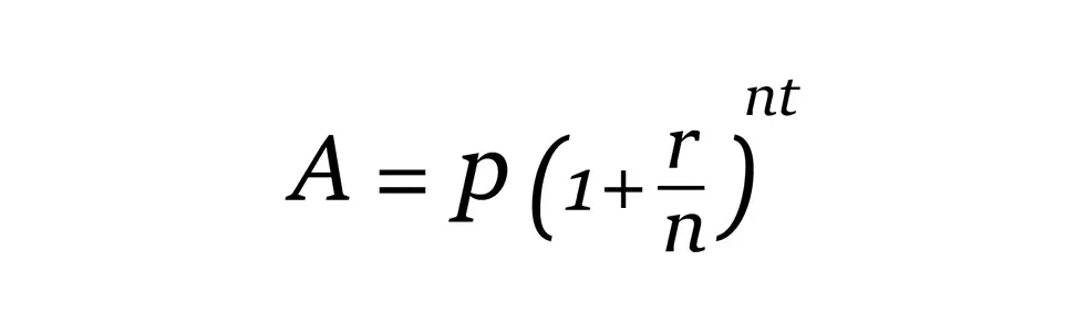
نحوه بررسی و محاسبه سود مرکب
برای محاسبه سود مرکب میتوان از فرمول زیر استفاده کرد:
- A: مبلغی که در نهایت شما کسب میکنید
- P: میزان سرمایه اولیهای که تخصیص شده است
- : Rنرخ سود سالانه
- N: تعداد دورههای که سود در سال محاسبه و یا پرداخت میشود
- T: میزان زمانی (سال) که سرمایهگذاری میشود.
بهعنوان مثال، اگر 50 میلیون تومان را با نرخ سود سالانه 18 درصد و مرکب ماهانه برای 5 سال سرمایهگذاری کنید، در پایان دوره حدود 122 میلیون تومان خواهید داشت.
نقش سرمایهگذاری بلندمدت در فعالسازی سود مرکب
سود مرکب در کوتاهمدت شاید چندان چشمگیر نباشد، اما در بلندمدت قدرت واقعی خود را نشان میدهد. به همین دلیل است که سرمایهگذاران حرفهای معمولاً به جای معاملات روزانه و هیجانی، استراتژیهای بلندمدت را ترجیح میدهند.
هرچه مدت سرمایهگذاری بیشتر باشد، فرصت بیشتری برای رشد سودهای قبلی وجود دارد. بهعنوان نمونه، اگر فردی از 20 سالگی شروع به سرمایهگذاری کند و هر ماه مبلغی را در صندوقهای سرمایهگذاری قرار دهد، در سن 40 سالگی ثروت او چندین برابر کسی خواهد بود که از 30 سالگی همان کار را شروع کرده است. بنابراین، زمان بهترین دوست سود مرکب است. هرچه زودتر شروع کنید، اثر آن قویتر میشود.
نحوه استفاده از سود مرکب در سرمایهگذاری
برای بهرهبردن از قدرت سود مرکب، باید سرمایهگذاریهایی را انتخاب کنید که سودهای دورهای آنها دوباره قابل سرمایهگذاری باشد. چند روش کاربردی برای این کار عبارتاند از:
- سرمایهگذاری در صندوقهای سرمایهگذاری
بسیاری از صندوقهای سرمایهگذاری، مانند صندوقهای درآمد ثابت، سهامی یا صندوق اهرمی، بهطور خودکار سود و بازده سرمایه را دوباره سرمایهگذاری میکنند. به این ترتیب، بدون نیاز به اقدام خاصی از سوی شما، سود مرکب در عمل فعال میشود.
- سرمایهگذاری منظم (DCA)
اگر بهصورت منظم و ماهانه سرمایهگذاری کنید، مثلاً هر ماه مبلغ ثابتی را به خرید نقره یا طلا اختصاص دهید و دارایی خود را نفروشید، در واقع در حال ساختن چرخهای از سود مرکب هستید.
- افزایش تدریجی سرمایهگذاری
حتی افزودن اندک سرمایه در دورههای زمانی مشخص میتواند تأثیر چشمگیری بر رشد مرکب سرمایه در بلندمدت داشته باشد.
نقش تورم بر سود مرکب
یکی از عواملی که نباید نادیده گرفته شود، تأثیر تورم بر سود مرکب است. تورم میتواند قدرت خرید سود حاصل از سرمایهگذاری را کاهش دهد. به همین دلیل، صرف داشتن سود مرکب کافی نیست؛ باید نرخ سود واقعی (یعنی سود پس از کسر تورم) را در نظر بگیرید.
بهطور مثال، اگر نرخ سود شما 40 درصد و تورم سالانه 45 درصد باشد، در واقع رشد واقعی سرمایهتان فقط 5 درصد است. برای مقابله با این موضوع، بهترین راه انتخاب سرمایهگذاریهایی است که بازدهی آنها بیش از نرخ تورم باشد. داراییهایی مانند صندوق طلا یا حتی خرید نقره توانستهاند در بلندمدت ارزش سرمایه را در برابر تورم حفظ کنند.
نمونهای از اثر سود مرکب در عمل در سرمایه گذاری
فرض کنید فردی 100 میلیون تومان را در صندوقی درآمد ثابت با بازدهی سالانه 30 درصد سرمایهگذاری میکند و تصمیم دارد سود خود را برداشت نکند. اگر مرکب شدن سود آن، بهصورت سالانه باشد، در پایان 5 سال، سود او به حدود 241 میلیون تومان میرسد. اما اگر هر سال سود را برداشت میکرد (یعنی سود ساده میگرفت)، پس از 5 سال، سود او فقط 150 میلیون تومان میشد. تفاوت 91 میلیون تومانی سود در این دو روش سرمایه گذاری، حاصل قدرت سود مرکب است.
جمعبندی
در پاسخ به سؤال سود مرکب چیست؟ باید گفت سود مرکب همان رشد تصاعدی پول شماست، وقتی که سودتان را دوباره سرمایهگذاری میکنید. هرچه زمان بیشتری به سرمایه خود بدهید، سود مرکب فرصت بیشتری برای رشد دارد.
بنابراین اگر قصد دارید در مسیر ثروتسازی واقعی قدم بردارید، باید نگاه کوتاهمدت را کنار بگذارید و با دید بلندمدت سرمایهگذاری کنید. انتخاب ابزارهایی مانند صندوق اهرمی یا داراییهای واقعی مثل خرید نقره میتواند به شما کمک کند تا هم از رشد مرکب سود بهره ببرید و هم در برابر تورم از سرمایهتان محافظت کنید. سود مرکب شاید در کوتاهمدت تأثیر چشمگیری نداشته باشد، اما در بلندمدت میتواند معجزه کند.
- آیا سود مرکب فقط در بانکها وجود دارد؟
خیر. سود مرکب در هر نوع سرمایهگذاری که سود آن دوباره سرمایهگذاری شود، وجود دارد. از جمله صندوقهای سرمایهگذاری، بازار سهام، طلا، رمزارز و حتی سپردههای بلندمدت.
- آیا میتوان سود مرکب را بهصورت ماهانه محاسبه کرد؟
بله، در بسیاری از صندوقها و حسابها، سود بهصورت ماهانه مرکب میشود. هرچه تناوب مرکب شدن بیشتر باشد، بازدهی نهایی نیز بیشتر خواهد بود.
- بهترین روش برای استفاده از سود مرکب چیست؟
سرمایهگذاری منظم، صبر، و انتخاب داراییهای سودده در بلندمدت سه اصل طلایی استفاده از سود مرکب هستند.

